Descripción de una nueva subespecie de ratón mochilero del género Heteromys (Mammalia, Rodentia, Heteromyidae) en Venezuela

Description of a new subspecies of spiny pocket mouse of the genus Heteromys (Mammalia, Rodentia, Heteromyidae) from Venezuela

Franger J. García1, Elvira Sánchez-González1, Dayana Araujo-Reyes1, Marjorie Machado1, Guillermo Flórez2

1    Departamento de Biología, Facultad Experimental de Ciencias y Tecnología (FACyT), Universidad de Carabobo, Carabobo, Venezuela. e-mail: cormura@yahoo.com
2    Pós-graduação em Evolução e Diversidade, Centro de Ciências Naturais e Humanas, Universidade Federal do ABC, São Paulo, Brasil. e-mail: guillermo.florez@ufabc.edu.br
      Fecha recepción: Mayo 27, 2017         Fecha aprobación: Noviembre 16, 2017   Editor Asociado: Neita-Moreno J.

Resumen

Se describe una nueva subespecie de roedor del género Heteromys para los bosques nublados del Parque Nacional Yurubí, Sierra de Aroa, Venezuela. Se empleó morfometría lineal y geométrica junto con una revisión de caracteres externos y craneales sobre especímenes asignados a poblaciones de las subespecies nominales H. anomalus y H. catopterius, además de la población no nominal Heteromys cf. catopterius. Los ejemplares revisados provienen de cinco áreas boscosas, ubicadas en dos biorregiones denominadas como cordillera de la Costa y sistemas de colinas Lara-Falcón. La nueva subespecie posee en promedio un tamaño corporal y craneal menor que H. anomalus y H. catopterius, además de tener una coloración dorsal y del antebrazo diferente de H. anomalus. En cuanto a su conservación, la restricción geográfica y altitudinal a una pequeña área de la cordillera de la Costa que está siendo fragmentada por procesos antropogénicos en acelerado desarrollo (particularmente la ganadería extensiva), urge en la necesidad de implementar medidas de protección para las poblaciones de la Sierra de Aroa, sobre todo de aquellas que no habitan dentro de Parque Nacional Yurubí.

Palabras clave: Castorimorpha, Morfometría geométrica, Parque Nacional Yurubí, Sierra de Aroa.

Abstract

We describe a new subspecies of spiny pocket mouse of the genus Heteromys from cloud forests of Yurubí National Park, Sierra de Aroa, Venezuela. We employed linear and geometric morphometrics, together with examination of external, and cranial characters in specimens assigned to populations of two nominal subspecies (H. anomalus and H. catopterius) and one non-nominal subspecies (Heteromys cf. catopterius). Specimens analyzed come from five forested areas located in two bioregions known as the Cordillera de la Costa and Sistemas de colinas Lara-Falcón. On average, the new subspecies, is smaller than H. anomalus and H. catopterius in external and cranial measurements; the forearm and dorsal coloration also differs from H. anomalus. With regards to its conservation the geographically and altitudinally restricted distribution in a small area of the Cordillera de la Costa that is being currently fragmented by rapid anthropogenic processes (particularly, the extensive cattle ranching), calls for the need to implement protection plans for populations from the Sierra de Aroa, especially of those outside Yurubí National Park.

Keywords: Castorimorpha, Geometric morphometrics, Sierra de Aroa, Yurubí National Park.

Introducción

En el Neotrópico, los ratones mochileros o ratones de abazones del género Heteromys (Castorimorpha, Heteromyidae), han recibido mayor atención taxonómica en años recientes, lo cual ha generado el descubrimiento de nuevas especies previamente consideradas como parte de Heteromys australis, H. desmarestianus y H. anomalus (Anderson y Jarrín-V 2002, Anderson 2003, Anderson y Timm 2006, Anderson y Gutiérrez 2009). Para el caso de Venezuela, el género está restringido al norte del río Orinoco (ausente en la biorregión Guayana), con una amplia distribución geográfica, incluyendo registros en una gran variedad de hábitats y en áreas insulares como la isla de Margarita (Anderson y Gutiérrez 2009). Los especímenes reportados provienen desde el nivel del mar hasta por encima de 2425 m (Anderson y Gutiérrez 2009).

Actualmente se reconocen cuatro especies en el país (Anderson 2015), de las cuales dos son endémicas (Sánchez-Hernández y Lew 2012): Heteromys oasicus, restringido a la vegetación medianamente húmeda del Monumento Natural Cerro Santa Ana y la fila de Monte Cano en la Península de Paraguaná, noroccidente de Venezuela y H. catopterius, cuya distribución geográfica incluye la cordillera de la Costa Central y Oriental, mayormente en bosques nublados con alturas superiores a los 700 msnm (Anderson y Gutiérrez 2009). De las especies restantes, una es exclusiva de la biorregión andina (H. australis, cordillera de Mérida) y la otra (H. anomalus), se distribuye geográficamente en la cordillera de la Costa Central y Oriental, Llanos, sistemas de colinas Lara-Falcón, depresión del lago de Maracaibo y en la isla de Margarita (Anderson y Gutiérrez 2009, Boher-Benti et al. 2016).

En la última revisión sobre taxonomía de Heteromys en Venezuela, Anderson y Gutiérrez (2009) examinaron todo el material depositado en colecciones zoológicas venezolanas y extranjeras referidas para sectores del centro y oriente del país (pertenecientes a las biorregiones de los Llanos, cordilleras de la Costa Central, de la Costa Oriental e Insular). Una de las áreas con vacíos de información, debido a la falta de especímenes provenientes del bosque nublado depositados en colecciones naturales fue la Sierra de Aroa. Ese sistema montañoso forma parte del sector más noroccidental de la cordillera de la Costa y llama la atención desde el punto de vista biogeográfico, porque se encuentra separado de las cordilleras de la Costa Central y de Mérida por las depresiones de Yaracuy y Lara (Anderson y Gutiérrez 2009).

En estudios posteriores sobre listados taxonómicos y de ecología poblacional en mamíferos de la Sierra de Aroa, se lograron capturar los primeros ejemplares de Heteromys y los mismos fueron asignados a H. anomalus para los bosques semideciduos en los sectores más bajos del Parque Nacional Yurubí y H. catopterius para los bosques nublados (García et al. 2012, 2013, 2016). En los últimos años se ha colectado una mayor cantidad de especímenes del género Heteromys en los bosques nublados de la sierra de Aroa, lo que permitió revisar con más detalle su morfología (externa y craneal) y morfometría (lineal y geométrica). Así pues, en este trabajo se evaluó el estatus taxonómico de las poblaciones de la sierra de Aroa, derivando en el reconocimiento de una nueva subespecie, que es descrita en el presente artículo. En especial, se hizo énfasis en comparar el nuevo taxón con las subespecies nominales de H. catopterius y H. anomalus, porque están geográficamente más cercanas al área de estudio y son las únicas señaladas para Venezuela (Anderson 2015).

Metodología

Se revisaron 117 especímenes adultos de Heteromys (clases de edad IV-VI, Rogers and Schmidly 1982, Apéndice 1), de las especies H. anomalus, H. catopterius y H. cf. catopterius. Las muestras fueron agrupadas geográficamente, tomando en consideración la procedencia de las mismas: cordillera de la Costa: tramos occidental (sierras de Bobare y de Aroa), central (serranía del Litoral) y oriental (serranía de Turimiquire), y sistemas de colinas Lara-Falcón: sierra de San Luis (Figura 1).



Para los análisis de morfometría lineal y geométrica, se trabajó sólo con adultos de la clase de edad IV. Este criterio de edad se sustentó en que es la clase más representativa de las muestras de la sierra de Aroa y la más abundante entre las muestras de adultos de poblaciones habitantes de las ordilleras de la Costa Central y Oriental, disponibles en colecciones de historia natural en Venezuela (Anderson y Gutiérrez 2009). Se siguió la consideración de Anderson y Gutiérrez (2009), de la no existencia de dimorfismo sexual para las diferentes poblaciones de Heteromys; por lo tanto, machos y hembras se agruparon para los análisis estadísticos y de comparación.

Las medidas craneales utilizadas para identificar las variaciones en los tres grupos evaluados fueron las siguientes: longitud occipital-nasal (LON), ancho del arco cigomático (AC), longitud del rostro (LR), longitud de los nasales (LN), constricción interorbital menor (CIM), ancho del escamoso (AE), longitud de la fila de dientes maxilar (LFM), ancho parietal (AP), ancho interparietal (AIP), longitud interparietal (LIP) y profundidad del cráneo (PC). Las medidas externas se tomaron de las etiquetas de los especímenes o de las bases de datos suministradas por los museos e incluyeron la longitud total (LT), longitud cabeza-cuerpo (LCC), determinada restando la longitud de la cola de la total, longitud de la cola (LC), longitud de la pata posterior (LP) y longitud de la oreja (LO). Todas las medidas fueron tomadas con un calibrador digital y representadas en mm con una precisión de 0.01 mm. Para la selección y definición de las medidas se siguió a Anderson y Gutiérrez (2009).

Se realizó un análisis de variables canónicas (AVC), para identificar la posible diferenciación entre los tres grupos estudiados. Un análisis de varianza multivariado (MANOVA), permitió analizar las diferencias significativas entre los grupos en función de todas las medidas craneales y externas, con comparación posterior entre pares basada en la distancia de Mahalanobis (dij). Luego se realizaron análisis ANOVA para cada una de las medidas craneales y externas.

Los criterios que se tomaron en cuenta para los análisis de morfometría geométrica siguieron a García y Sánchez-González (2013). Se seleccionó sólo la vista dorsal de cada cráneo [H. cf. catopterius (n=20), H. catopterius (n=26) y H. anomalus (n=16)], y las fotografías fueron realizadas por la misma persona con ayuda de un trípode. Debajo de cada cráneo se colocó un papel milimetrado para obtener una foto con la escala de referencia. Se eligieron 16 hitos morfológicos, utilizando el programa TPSdig (Rohlf 2006). La escogencia de los hitos (Figura 2), estuvo basada en áreas del cráneo consideradas como caracteres taxonómicos del grupo (Anderson y Gutiérrez 2009).



Los hitos morfológicos generaron dos ejes de coordenadas (x, y), que representaron las configuraciones geométricas de cada cráneo. Cada uno de esos ejes fue sometido a un ajuste de Procrustes, donde se eliminó la variación asociada con los efectos de posición, orientación y escala.

Los residuos del ajuste de Procrustes generaron dos matrices: una matriz (desviaciones parciales), se empleó para realizar el análisis de variables canónicas (AVC/MANOVA), en la cual se asignaron grupos a priori definidos como H. cf. catopterius, H. catopterius y H. anomalus, se calcularon las distancias de Mahalanobis y se obtuvo el porcentaje de los grupos reclasificados. La otra matriz se utilizó para documentar el tamaño centroide, el cual se obtuvo al calcular la raíz cuadrada de la suma de las distancias, elevadas al cuadrado desde cada hito morfológico al centroide.
Finalmente, para observar los cambios de la forma en las diferentes áreas o regiones de los cráneos sobre el espacio del AVC, se empleó la función de interpolación de placas de deformación, utilizando el tamaño centroide como un estimador y obteniéndose una representación visual (rejilla de deformación), de las diferencias en la forma, con respecto a la configuración promedio. Los análisis estadísticos y de morfometría fueron realizados con los programas CoordGen, CVAGen (Sheets 2005a, b), MOG (Dujardin 2005) y PAST (Hammer y Harper 2011).

Todo el material examinado, se encuentra disponible en las siguientes colecciones venezolanas: Museo de la Estación Biológica de Rancho Grande (EBRG, Aragua) y Laboratorio Museo de Zoología de la Universidad de Carabobo (MZUC, Carabobo).

Resultados

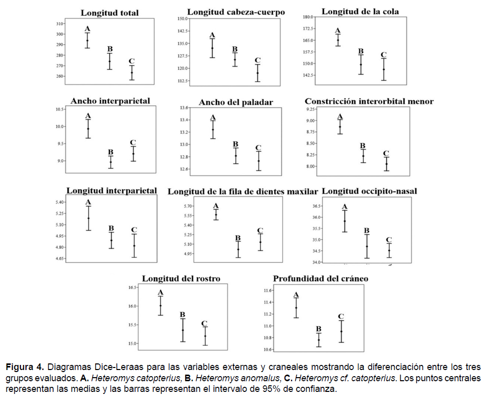
El AVC para las medidas craneales (Figura 3A), muestra un agrupamiento concordante en 80% para H. anomalus (24 individuos de 30), 63,6% para H. cf. catopterius (14 individuos de 22) y 92,9% para H. catopterius (26 individuos de 28). En cuanto a las medidas externas (Figura 3B), la reclasificación concordó en 51,5% para H. anomalus (17 individuos de 33), 38,7% para H. cf. catopterius (12 individuos de 31) y 58,1% para H. catopterius (18 individuos de 31). El MANOVA para las medidas craneales, mostró diferencias significativas entre los grupos (λ de Wilks=0,26; F=5,84; p<0,001 con g.l1 y 2=22 y 134), arrojando en la comparación de pares basada en la distancia de Mahalanobis, diferencias significativas en las medidas craneales de H. catopterius y H. cf. catopterius (dij=8,95; p<0,001) y entre H. catopterius y H. anomalus (dij=8,48; p< 0,001). Las medidas externas arrojaron resultados que sustentan las mismas diferencias entre grupos (λ de Wilks=0,67; F=4; p<0,001 con g.l1 y 2=10 y 174), con diferencias en las medidas externas entre H. catopterius y H. cf. catopterius (dij=2,98; p<0,001) y entre H. catopterius y H. anomalus (dij=1,57; p<0,001). Las medidas que discriminaron a los tres grupos (Figura 4), según la prueba de ANOVA fueron tres externas (2 y 92 g.l entre/intra grupos): LT (F=11,78; p<0,001); LCC (F=6,58; p=0,002); LC (F=8,63; p<0,001) y ocho craneales (2 y 77 g.l entre/intra grupos): LON (F=7,68; p=0,001); LR (F=8,32; p<0,001); CIM (F=28,20; p<0.001); LFMD (F=24,19; p<0,001); AIP (F=29,97; p<0,001); LIP (F=7,10; p=0,001); AP (F=13,67; p<0,001); PC (F=14,21; p<0,001). En promedio, H. cf. catopterius, obtuvo valores menores que los otros grupos en las medidas externas y en la mayoría de las medidas craneales, que son significativamente diferentes a las medidas de H. catopterius (Tabla 1).







En relación con la morfometría geométrica, hubo diferencias estadísticamente significativas en el tamaño centroide entre los tres grupos (Figura 5A). H. cf. catopterius, obtuvo un tamaño centroide mayor que el resto de los grupos evaluados (X =72,92; mm±1,45), seguido por H. catopterius (X=46,01 mm±0,47; p<0,001) y H. anomalus (X=45,66; mm±0,37; p<0,001).
En cuanto a la variación de la forma del cráneo en la vista dorsal, el AVC reveló que la reclasificación de las muestras concordó en 93,8% para H. anomalus (15 individuos de 16), 95% para H. cf. catopterius (19 individuos de 20) y 100% para H. catopterius (30 individuos de 30). El diagrama factorial del AVC (Figura 5B), mostró una separación de los tres grupos más precisa que la obtenida por la morfometría tradicional (Figura 3). Sin embargo, el análisis MANOVA posterior para la matriz de morfometría, concuerda con lo encontrado en la comparación por medidas craneales y externas, con una diferencia entre grupos (λ de Wilks=0,06; F=4,27; p<0,001 con g.l1 y 2=58 y 62 ), que se muestra sólo entre H. catopterius y H. cf. catopterius (dij=23,77; p=0,041) y entre H. catopterius y H. anomalus (dij=18,38; p=0,027), siendo no significativas para H. anomalus y H. cf. catopterius (dij=16,14; p=0,283).



Las rejillas de deformaciones señalan las diferencias en las áreas del cráneo de la vista dorsal (Figura 6). En H. anomalus se estrecharon los nasales (hitos 2 y 16) y los frontales en la zona media (hitos 6 y 12), mientras que se expandió la caja cefálica (hitos 7 y 11). En H. catopterius se estrecharon ligeramente los frontales en la zona media (hitos 6 y 12), mientras se expandieron los nasales (hitos 2 y 16) y la región interorbital (hitos 5 y 13). En H. cf. catopterius, hubo una marcada estrechez en la región interorbital (hitos 5 y 13) y caja cefálica (hitos 7 y 11); una ligera estrechez en la parte media de los frontales (hitos 6 y 12), mientras que se expandieron ligeramente los nasales (hitos 2 y 16) y la zona anterior de los frontales (hitos 4 y 14).
En cuanto a los patrones de coloración (Figura 7), las poblaciones de H. cf. catopterius de la Sierra de Aroa, poseen una coloración similar a las poblaciones de H. catopterius de la serranía del litoral y cordillera Oriental, pero difieren de la coloración típica de H. anomalus. Las diferencias relacionadas con el cráneo se limitan al tamaño y proporción. Los cráneos de las poblaciones de H. cf. catopterius de la sierra de Aroa son más pequeños y menos robustos cuando se compararon con individuos de H. catopterius de la serranía del Litoral y cordillera Oriental y son similares a los cráneos de H. anomalus (Figura 7).





La evidencia métrica y geométrica en conjunto con los patrones de coloración y morfología externa-craneal soporta el reconocimiento de un nuevo taxón (a nivel de subespecie), habitante de las áreas montañosas del tramo occidental de la Cordillera de la Costa, el cual se describe a continuación:
Heteromys catopterius terzenbachi ssp. nov.

Ratón mochilero de Terzenbach (Terzenbach’s Spiny pocket mouse) (Figuras 7 D y E; 8 B; 9 A, B y C; 10)







Holotipo. Hembra (MZUC–878; clase de edad IV), preservada como piel, cráneo (Figuras 7 D y E; 9 A, B y C) y esqueleto post-craneal, colectada por Franger J. García y Mariana Isabel Delgado-Jaramillo (número de campo: FG-1844), el 22 de mayo de 2009 en un bosque nublado del sector El Silencio, Parque Nacional Yurubí, sierra de Aroa, estado Yaracuy, Venezuela. Las medidas externas y craneales se muestran en la Tabla 2.



Paratipos. Dos machos (MZUC-879 y MZUC-1092; clase de edad IV), preservados como piel, cráneo y esqueleto post-craneal, colectados por Franger J. García (números de campo: FG-2154, 2244), el 13 de mayo de 2011 y el 25 de marzo de 2012, en un bosque nublado del sector El Silencio, Parque Nacional Yurubí, sierra de Aroa Estado Yaracuy, Venezuela. Las medidas externas y craneales se muestran en la Tabla 2.

Localidad tipo. La Trampa del Tigre (10°24’11” N, 68°48’01” O; 1940 msnm), sector El Silencio, Parque Nacional Yurubí, sierra de Aroa, Estado Yaracuy, noroccidente de Venezuela.
Distribución geográfica. Restringido a la Sierra de Aroa, Estado Yaracuy, cordillera de la Costa (tramo occidental), Venezuela (Figura 1). Conocido sólo de los bosques nublados del Parque Nacional Yurubí en un intervalo de altitud de 883-1940 msnm.

Especímenes adicionales referidos. Veinticuatro provenientes de la localidad tipo y uno capturado en la localidad Quebrada Palo Verde (Apéndice 1).

Etimología. El epíteto subespecífico hace honor a Baldur Terzenbach (Figura 11), destacado taxidermista germano-venezolano contratado por el gobierno venezolano en el año de 1954 para trabajar en el Museo de la Estación Biológica de Rancho Grande (EBRG). Baldur Terzenbach fue el primer taxidermista del museo de la EBRG, ubicado en ese entonces en la antigua construcción no finalizada por el Gobierno del General Juan Vicente Gómez (hoy en día, Estación Biológica Dr. Alberto Fernández Yépez).



Diagnosis. Un Heteromys de tamaño pequeño (LCC promediando 117,1 mm), con la cola mayor a la longitud cabeza-cuerpo. Coloración sobre el dorso y región dorsal del antebrazo gris oscura. Cráneo de tamaño pequeño (LON promediando 34,5 mm), con un rostro corto. Nasales y región anterior de los frontales anchos. Regiones interorbitales, cefálicas y parietales estrechas.

Descripción. Coloración dorsal gris oscuro o negruzco, con pelos de color amarillo oscuro (ocráceos), mezclados con los pelos modificados como espinas). Coloración ventral blanca (pelos unicoloreados). Miembros anteriores con un parche de color gris oscuro o negruzco en el antebrazo, continuo con los flancos del cuerpo. Orejas de color gris oscuro o negruzco y con forma de elipse. Cola marcadamente bicoloreada y mayor que la longitud cabeza-cuerpo (Tabla 1). Miembros posteriores largos y estrechos, con la superficie plantar desnuda.

Cráneo de tamaño pequeño, con una longitud occipital-nasal menor en promedio cuando se compara con las dos subespecies más similares (Tabla 1); nasales (parte anterior) y huesos frontales (parte anterior), ligeramente anchos; proyección dorsal del maxilar y procesos postorbitales desarrollados; región interorbital y caja cefálica estrechas; cresta parietal e interparietal desarrolladas; forámenes incisivos anchos y cortos; fosas mesopterigoidea y parapterigoidea profundas; fisuras esfenopalatinas presentes y variando en tamaño; premolar superior mayor que el resto de los molares; lado lingual y labial de los molares lisos.

Comparaciones. Externamente, H. c. terzenbachi se diferencia de las poblaciones venezolanas de H. anomalus por la coloración dorsal del cuerpo (gris oscuro vs. marrón grisáceo; Figura 7), así como por el parche sobre la superficie dorsal del antebrazo (marcadamente gris oscuro vs. marrón gris; Figura 8). Sin embargo, existe variación reportada para algunos especímenes de H. anomalus (Anderson y Gutiérrez 2009), los cuales pueden mostrar una coloración similar a la documentada para la nueva subespecie. Con respecto al tamaño corporal, H. anomalus es en promedio mayor en la longitud total, longitud cabeza-cuerpo y longitud de la cola que H. c. terzenbachi (Tabla 1).

Aunque H. c. terzenbachi y H. catopterius se asemejan en la coloración del cuerpo y parche del antebrazo (Figuras 7 y 8), se diferencian por el mayor tamaño de las medidas externas de la última subespecie (Tabla 1).

En cuanto a los caracteres craneales, H. c. terzenbachi es una subespecie que se diferencia de H. anomalus y de H. catopterius, por poseer un cráneo más pequeño en tamaño y proporción (Tabla 1, Figura 7), haciéndose más marcada esas diferencias en la longitud occipito-nasal del cráneo, rostro, región interobital, ancho de los cigomáticos, filas de molares superiores, región interparietal, paladar y profundidad del cráneo.

El tamaño centroide es otro estimador que respalda las diferencias de tamaño de los cráneos entre las tres subespecies evaluadas (Figura 5B). En cuanto a la forma del cráneo, H. c. terzenbachi posee un rostro corto (largo en H. anomalus), con la parte anterior de los nasales y región media de la frente anchos (largos en H. anomalus) y con una caja cefálica y región interorbital estrechas (anchas en H. anomalus). Heteromys catopterius posee la parte anterior de los nasales y la región interorbital marcadamente anchas (ligeramente ancha y estrecha para H. c. terzenbachi), con la región media de los frontales estrecha (ancha para H. c. terzenbachi) (Figura 6).

Discusión

En un período menor a 20 años, los pocos esfuerzos de muestreos aplicados sobre la fauna de vertebrados de la sierra de Aroa y las posteriores revisiones taxonómicas de algunos de esos grupos han derivado en la descripción y reportes de varios taxa endémicos y conocidos solo de esa región. La lista incluye a dos mamíferos (Cryptotis aroensis; Quiroga-Carmona y Molinari 2012 y Rhipidomys fulviventer bisbali; García et al. 2015, 2016), dos anfibios (Caecilia flavopuntacta, Roze y Solano 1963 y Dendropsophus yaracuyanus, Mijares-Urrutia y Rivero 2000) y diez peces (Hyphessobrycon fernandezi, Brachyhypopomus diazi, Farlowella martini, Lasiancistrus nationi, Pseudopimelodus mathisoni, Trichomycterus arleoi, Creagrutus lepidus, C. lassoi, Hypostomus pagei y Chaetostoma yurubiense, Rodríguez-Olarte et al. 2005).

Además, existen reportes de otros taxa de vertebrados endémicos de Venezuela con distribuciones geográficas para la sierra de Aroa: cinco mamíferos (Myotis handleyi, Alouatta arctoidea, Ichthyomys pittieri, Nephelomys caracolus y Rhipidomys venustus, García et al. 2016) y un anfibio (Agalychnis medinae, Rojas-Runjaic et al. 2014); además de algunos no considerados en la información publicada: dos mamíferos (Cebus brunneus y Sylvilagus floridanus valenciae, depositados en el MZUC) y tres anfibios (Aromobates sp., Gastrotheca ovifera y G. walkeri, depositados en la EBRG).

En cuanto a la información ecológica para H. c. terzenbachi, los datos conocidos hasta el momento indican que está restringido a los bosques nublados u ombrófilos del Parque Nacional Yurubí en alturas superiores a los 800 msnm, mayormente en áreas con baja perturbación antrópica y fragmentación. La información relacionada con abundancia indica que esta especie puede ser considerada como un pequeño mamífero común en esos bosques nublados (García et al. 2013). Los datos sobre reproducción señalan que posiblemente tenga dos picos de gestación: uno entre abril y mayo y el otro para octubre, noviembre y diciembre (García et al. 2013).

En la actualidad, los ecosistemas de la sierra de Aroa y todos aquellos ubicados en el norte de Venezuela enfrentan grandes presiones en cuanto a las reducciones de sus superficies boscosas, entre otras causas, por la alta concentración urbana y agropecuaria (García et al. 2016), lo que está condicionando la supervivencia de la diversidad biológica conocida y tal vez a la aún no registrada o conocida para esas biorregiones del país. Estas consecuencias son críticas, considerando que grandes extensiones de esas áreas ya se encuentran degradadas o con altos niveles de perturbación. La descripción de H. c. terzenbachi y su distribución geográfica restringida a la Sierra de Aroa, evidencia aún más el alto grado de endemismo que ocurre en esta área y el valor de conservación y protección de la cual debería ser merecedora, no solo por la diversidad de su biota, sino por resguardar las nacientes de los principales ríos que suministran agua para consumo humano en una zona con un desarrollo demográfico y urbanístico acelerado y no planificado (García et al. 2016).

Agradecimientos

Los autores desean agradecer a Javier Sánchez-Hernández, Edward Camargo-Siliet, Manuel González Fernández y Aiskel Gabriela Rodríguez por la colaboración para la revisión de los especímenes depositados en la EBRG. A Helga Terzenbach por facilitarnos las fotografías de las Figuras 7, 8 y 11 y por el resumen de la biografía del Baldur Terzenbach. Un revisor anónimo y Robert P. Anderson, contribuyeron enormemente con correcciones y sugerencias para mejorar la primera versión del manuscrito.

Literatura citada
  • Anderson RP, Jarrín-V P. 2002. A new species of spiny pocket mouse (Heteromyidae: Heteromys) endemic from Western Ecuador. Am Museum Novitates. 3382: 1-26. Disponible en: http://digitallibrary.amnh.org/bitstream/handle/2246/2871//v2/dspace/ingest/pdfSource/nov/N3382.pdf?sequence=1&isAllowed=y
  • Anderson RP. 2003.  Taxonomy, distribution, and natural history of the genus Heteromys (Rodentia: Heteromyidae) in Western Venezuela, with the description of a dwarf species from the Península de Paraguana. Am Museum Novitates. 3396: 1-43. Disponible en: https://bit.ly/2RWTCJf
  • Anderson RP, Timm RM. 2006. A new montane species of spiny pocket mouse (Rodentia: Heteromyidae: Heteromys) from Northwestern Costa Rica. Am Museum Novitates. 3509: 1-38. Disponible en: http://digitallibrary.amnh.org/bitstream/handle/2246/5784/N3509.pdf?sequence=1&isAllowed=y
  • Anderson RP, Gutiérrez EE. 2009. Taxonomy, distribution, and natural history of the genus Heteromys (Rodentia: Heteromyidae) in Central and Eastern Venezuela, with the description of a new species from the Cordillera de la Costa. Bull Am Museum Nat Hist. 331: 33-93. Disponible en: https://doi.org/10.1206/582-2.1
  • Anderson RP. 2015. Family Heteromyidae. Pp. 51-8. En: Patton JL, Pardiñas UFJ, D’Elía G (eds). Mammals of South America. Vol 2. Rodents. Chicago, London: The University of Chicago Press Books. Disponible en: http://press.uchicago.edu/ucp/books/book/chicago/M/bo18553844.html
  • Boher-Benti S, Cordero-Rodríguez GA, Caldera-Andara T, Salazar-Candelle M, Isasi-Catalá E. 2016. Primer registro de albinismo en Heteromys anomalus y su distribución geográfica actualizada en Venezuela. Acta Biol Venez. 36 (1): 19-32. Disponible en: http://saber.ucv.ve/ojs/index.php/revista_abv/article/view/11905/11616
  • Dujardin JP. 2005. MOG (MOrfometria Geométrica), versión 0.71. Institut de Recherches pour le Développement (IRD), Montpellier-France. Disponible en: http://life.bio.sunysb.edu/morph/index.html
  • García FJ, Delgado-Jaramillo M, Machado M, Aular L. 2012. Preliminary inventory of mammals from Yurubí National Park, Yaracuy, Venezuela, with some comments on their natural history. Rev Biol Trop. 60 (1): 459-72. doi: http://dx.doi.org/10.15517/rbt.v60i1.2781
  • García FJ, Sánchez-González E. 2013. Morfometría geométrica craneal en tres especies de roedores arborícolas neotropicales (Rodentia: Cricetidae: Rhipidomys) en Venezuela. Therya. 4 (1): 157-78. Disponible en: http://www.scielo.org.mx/pdf/therya/v4n1/v4n1a15.pdf
  • García FJ, Delgado-Jaramillo MI, Machado M, Aular L, Mújica Y. 2013. Pequeños mamíferos no voladores de un bosque nublado del Parque Nacional Yurubí, Venezuela: abundancias relativas y estructura poblacional. Interciencia. 38 (10): 719-25. Disponible en: http://www.redalyc.org/pdf/339/33929482005.pdf
  • García FJ, Delgado-Jaramillo MI, Machado M, Araujo-Reyes D, Vásquez-Parra O, Brito H. 2015. Descripción de dos nuevas subespecies de Rhipidomys fulviventer (Mammalia, Rodentia, Cricetidae) en Venezuela. Acta Biol Venez. 35(1): 33-46. Disponible en: https://bit.ly/2OMMQ6J
  • García FJ, Delgado-Jaramillo MI, Machado M, Aular L. 2016. Mamíferos de la Sierra de Aroa, estado Yaracuy, Venezuela: listado taxonómico y la importancia de su conservación. Memoria de la Fundación La Salle de Ciencias Naturales. 73 (179-180): 17-34. Disponible en: https://bit.ly/2DIjwxu
  • Hammer Ø, Harper DAT. 2011. PAST: PAlaeontological STAtistics, versión 2.10. Disponible en: http://folk.uio.no/ohammer/past
  • Mijares-Urrutia A, Rivero RA. 2000. A new treefrog from the Sierra de Aroa, Northern Venezuela. J Herpetol. 34 (1): 80-4. Disponible en: https://www.researchgate.net/publication/271684319_A_New_Treefrog_from_the_Sierra_de_Aroa_Northern_Venezuela
  • Quiroga-Carmona M, Molinari J. 2012. Description of a new shrew of the genus Cryptotis (Mammalia: Soricomorpha: Soricidae) from the Sierra de Aroa, an isolated mountain range in northwestern Venezuela, with remarks on biogeography and conservation. Zootaxa. 3441: 1-20. Disponible en: https://bit.ly/2TjaawE
  • Rodríguez-Olarte D, Amaro A, Coronel J, Taphorn DC. 2005. Los peces del río Aroa, cuenca del Caribe, Venezuela. Memoria de la Fundación La Salle de Ciencias Naturales. 164: 101-27. Disponible en:https://bit.ly/2Kbel9m
  • Rogers DS, Schmidly DJ. 1982. Systematics of spiny pocket mice (genus Heteromys) of the desmarestianus species group from México and northern Central America. J Mammal. 63 (3): 375-86. Disponible en: https://www.jstor.org/stable/1380434?seq=1#page_scan_tab_contents
  • Rohlf FJ. 2006. tpsDig, Digitize landmarks and outlines. Version 2.05. New York: Stony Brook. Department of Ecology and Evolution, State University of New York. Disponible en: http://www.scirp.org/(S(i43dyn45teexjx455qlt3d2q))/reference/ReferencesPapers.aspx?ReferenceID=1491321
  • Rojas-Runjaic FJM, Camargo-Siliet E, Bolaños W, Mora D, Aular L, García FJ. 2014. A new locality and range extension for the Rancho Grande leaf frog Agalychnis medinae (Funkhouser, 1962) (Anura: Hylidae) in northern Venezuela. Checklist. 10 (2): 392-4. Disponible en: https://biotaxa.org/cl/article/view/10.2.392
  • Roze JA, Solano H. 1963. Resumen de la familia Caeciliidae (Amphibia: Gymnophiona) de Venezuela. Acta Biol Venez. 3: 287-300.
  • Sánchez-Hernández J, Lew D. 2012. Lista actualizada y comentada de los mamíferos de Venezuela. Memoria de la Fundación La Salle de Ciencias Naturales. 173-174: 173-238. Disponible en: https://www.researchgate.net/publication/256868130_Lista_actualizada_y_comentada_de_los_mamiferos_de_Venezuela
  • Sheets HD. 2005a. CoordGen6, Coordinate Generation program for calculating shape coordinates.
  • Sheets HD. 2005b. CVAGen6, Canonical Variates Analysis program for the analysis of shape, based on partial warp scores.

Apéndice 1

Especímenes y gacetillas de las localidades (según catálogos de museos), en este trabajo

Heteromys c. terzenbachi  (n=28). 1. La Trampa del Tigre (1400-1940 msnm; 10°25’ N, 68°48’ O), Sector El Silencio, Parque Nacional Yurubí, Sierra de Aroa, Estado Yaracuy (MZUC-692, 696, 697, 703, 706, 711, 712, 713, 715, 716, 717, 718, 719, 720, 721, 878, 879, 1092, 1503, 1533; EBRG-29657, 29667, 29668, 29669, 29670, 29671, 29672). 2. Quebrada Palo Verde (883 msnm; 10° 26’ 02” N, 68° 48’ 18” O), sector El Tigre, Parque Nacional Yurubí, Sierra de Aroa, Estado Yaracuy (MZUC-692). Heteromys catopterius (n = 32). 3. Campamento La Justa (350 msnm; 10° 23’ N, 68° 14’ O), río Morón, Estado Carabobo (EBRG-17109). 4. Parque Nacional San Esteban, Cariaprima (1025 msnm; 10° 22’ N, 68° 02’ O), Estado Carabobo (EBRG-22006). 5. Estación Biológica Rancho Grande-Cata, Kilómetros 24-29 (680 msnm; 10° 22’ N, 67° 44’ O), Estado Aragua (EBRG-28205, 28206). 6. Cerca del refugio Pico Guacamaya (1730 msnm; 10° 22’ N, 67° 40’ O), Parque Nacional Henri Pittier, Estado Aragua (EBRG-28216, 28221): incluye, La cumbre, Estación Biológica de Rancho Grande (1500 msnm), Parque Nacional Henri Pittier (EBRG-190, 4317, 28222); Cerca del pluviómetro de Andy Field, Parque Nacional Henri Pittier (1690 msnm) (EBRG-28213). 7. Portachuelo (1100-1120 msnm; 10° 21’ N, 67° 41’ O), Parque Nacional Henri Pittier, Estado Aragua: incluye, Parque Nacional Henri Pittier, Estación Biológica de Rancho Grande, sendero La Toma (EBRG-32, 362, 363, 26991, 26993, 26995, 26996, 27353, 28203, 28223). 8. Vía Ocumare de la Costa (630 msnm; 10° 22’ N, 67° 44’ O), Parque Nacional Henri Pittier, Estado Aragua (EBRG-28218). 9. Monumento Natural Pico Codazzi (1600-2000 msnm; 10° 25’ N, 67° 17’ O), Colonia Tovar, Estado Aragua (EBRG-21736, MZUC-842, 843). 10. 5 Km S, 23-25 Km O de Caracas, Alto Ñeo León (1870-1880 msnm; 10° 26’ N, 67° 09’ O), Parque Nacional Macarao, Distrito Capital (EBRG-15083, 15084). 11. 9.4 Km al Norte de Caracas, Hotel Humboldt (10° 33’ N, 66° 52’ O), Parque Nacional Waraira Repano (El Ávila), Distrito Capital (EBRG-15052, 15053, 15054, 15056). 12. Estación Experimental El Laurel (1355 msnm; 10° 23’ N, 66° 54’ O), carretera Hoyo La Puerta, Estado Miranda (EBRG-22259). 13. 2 Km N, 4 Km O de Caripe (1170 msnm; 10° 11’ N, 63° 32’ O), cerca de San Agustín, Estado Monagas (EBRG-15086). Heteromys anomalus (n = 57). 14. Serranía de San Luis, Parque Nacional Juan Crisóstomo Falcón, sector Cumbre de Uría (1320-1370 msnm; 11° 13’ 32” N, 69° 36’ 50” O), 9 Km N de Cabure, Estado Falcón (EBRG-25312, 25314, 25315): incluye, Serranía de San Luis, Parque Nacional Juan Crisóstomo Falcón, 10 Km O + 4 Km N de Cabure, sector Cerro Galicia (EBRG-23103, 25311); Parque Nacional Juan Crisóstomo Falcón, El Haitón, municipio Petit (EBRG-23487, 23488). 15. Finca El Jaguar (800 msnm; 10° 32’ N, 68° 59’ O), 16 Km NO de Aroa, Sierra de Bobare, Estado Yaracuy (EBRG-18903, 20699, 21750, 22344). 16. El Balcón de Yaracuy (1500 msnm; 10°20’48,7”N, 68°50’05,3”O), sector Pitigüao, Sierra de Aroa, Estado Yaracuy (EBRG-29735). 17. Hacienda el Zinc (1223 msnm; 10°19’22” N, 68°51’07” O), Sierra de Aroa, municipio Sucre, Estado Yaracuy (EBRG-29414, 29415, 29416, 29417, 29418, 29436). 18. El descansadero del tigre (213 msnm; 10° 26’ N, 68° 40’ O), sector Mayorica, Parque Nacional Yurubí, Sierra de Aroa, Estado Yaracuy (EBRG-29630, 29631; MZUC-398, 399): incluye, Mayorica, pica hacia Guayabito, Parque Nacional Yurubí, Sierra de Aroa (MZUC-1127). 19. Cuenca de Las Minas (700 msnm; 10° 22’ N, 68° 52’ O), sector Los Bacos, Sierra de Aroa, Estado Yaracuy (EBRG-23621). 20. Cerro Zapatero (1227 msnm; 10° 13’ 82” N, 68° 38’ 28” O), Macizo de Nirgua, Estado Yaracuy (MZUC-693). 21. Finca Cujigacho (500 msnm; 10° 14’ N, 67° 52’ O), Guacara, Estado Carabobo (EBRG-28173). 22. Fila La Josefina (1350 msnm; 10° 20’ N, 67° 55’ O), 11 Km NO de Tronconero, Parque Nacional San Esteban, Estado Carabobo (EBRG-10146, 10174, 10202). 23. Hacienda Saint Jean (120 msnm; 10° 26’ 00” N, 67° 58’ 00” O), 13 Km SE de Borburata, Estado Carabobo (EBRG-8167, 8186). 24. Quebrada Yapascua (0-100 msnm; 10° 23’ 00”N, 67° 53’ 00” O), bosque de galería Yapascua, Parque Nacional San Esteban, Estado Carabobo (EBRG-8171, 8193). 25. El Limón, Estación de Fauna (450 msnm; 10° 19’ N, 67° 39’ O), Parque Nacional Henri Pittier, Estado Aragua (EBRG-131, 133, 27354): incluye, Parque Nacional Henri Pittier, cumbre Turiamo (EBRG-359, 360); Estación de Piscicultura del Ministerio de Agricultura y Cría, El Limón, Maracay, (EBRG-188, 28171); Estación Biológica de Rancho Grande, Cata, Km 36, Parque Nacional Henri Pittier (EBRG-28184, 28186); La Trilla, Parque Nacional Henri Pittier (EBRG-28185, 28192); Parque Nacional Henri Pittier, 4.6 Km. S de Rancho Grande por carretera (EBRG-16955); Parque Nacional Henri Pittier, Estación Biológica de Rancho Grande (EBRG-15047, 15048, 15049). 26. Carretera Rancho Grande-Ocumare (250-500 msnm; 10° 23’N, 67° 45’ O), Parque Nacional Henri Pittier, Estado Aragua (EBRG-28178, 28179, 28180, 28181, 28182, 28187). 27. Parque Nacional Macarao, Cerro Geremba (2337 msnm; 10° 24’ 37.4” N, 67° 12’ 42.2” O), Estado Miranda (EBRG-27461). 28. Quebrada Yoraco (400 msnm; 10° 12’ N, 63° 55’ O), cerca de Las Trincheras, base Turimiquire, Estado Sucre (EBRG-8196). 29. Río Neverí (450 msnm; 10° 20’ 17” N, 64° 17’ 56” O), Parque Nacional Mochima, Paraminal, municipio Raúl Leoni, Estado Sucre (EBRG-23021).


Apéndice 2

Hitos morfológicos elegidos en la vista dorsal de cráneos de tres subespecies de roedores del género Heteromys en Venezuela

1-9. Distancia occipital-nasal; 2-16. Ancho del nasal; 3-15. Ancho del rostro; 4-14. Ancho de los frontales a la altura de la proyección del hueso lagrimal; 5-13. Ancho de la constricción interorbital; 6-12. Ancho de los frontales en la región media; 7-11. Ancho parietal; 8-10. Ancho interparietal.